1. Rocket dynamics_1 by Controla – (Guidance, Navigation and Control LAB)

2. TVC Rocket dynamics_2 by Controla – (Guidance, Navigation and Control LAB)

3. Matlab simulation Plot – TVC Rocket (RK4)

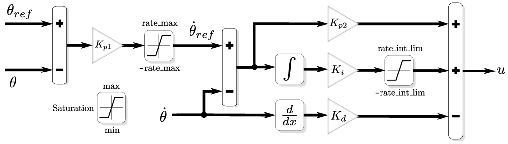
4. 2025 IREC-HANul Core idea diagram


5. OpenRocket simulation results


댓글 남기기